Materi Ujian Nasional Kompetensi Metode Penelitian Sosial
Table of Contents
![]() |
| Metode Penelitian Sosial |
C. Metode Penelitian Sosial
Metode penelitian adalah cara/teknik yang digunakan peneliti untuk melakukan penelitian sosial. Berikut penjelasan teknik yang diterapkan dalam penelitian sosial1. Teknik Menentukan Populasi, Sampel, dan Informan
Populasi adalah keseluruhan orang/kelompok yang akan dijadikan sampel. Sampel akan dipilih secara khusus dengan kriteria tertentu untuk dijadikan sumber atau objek penelitian. Sampel yang dipilih harus mewakili keseluruhan populasi. Sampel pada penelitian kuantitatif disebut responden. Sementara itu, pada penelitian kualitatif sampel disebut informan.
Pada umumnya sampel dibedakan menjadi dua bentuk yaitu random sampling/probability sampling (acak) dan nonrandom sampling/nonprobability sampling (tidak acak). Penelitian kuantitatif biasanya menggunakan sampel acak. Sementara itu, penelitian kualitatif menggunakan sampel tidak acak.
Langkah-langkah memilih sampel dapat dilakukan dengan cara menentukan karakteristik populasi, menentukan teknik pemilihan sampel, menentukan besaran sampel, dan memilih sampel.
a. Teknik menentukan informan pada penelitian kualitatif
Pada penelitian kualitatif peneliti menentukan informan secara khusus. Informan dipilih karena dianggap mampu menjelaskan suatu permasalahan dan mampu membangun informasi yang dibutuhkan dalam penelitian.
Informan dalam penelitian kualitatif relatif sedikit. Adapun teknik pemilihan informan pada penelitian kualitatif yaitu purposive sampling dan snowball sampling. Purposive sampling (sampel bertujuan) merupakan pengambilan sampel berdasarkan pertimbangan subjektif yaitu peneliti mengetahui kemampuan dan identitas informan dalam membangun informasi dengan jelas. Sementara itu, snowball sampling (sampel bola salju) merupakan pemilihan informan berdasarkan rekomendasi informan sebelumnya.
b. Teknik sampling pada penelitian kuantitatif
1) Sampel acak (random sampling), yaitu teknik pengambilan sampel yang setiap anggota populasinya memiliki kesempatan sama menjadi anggota sampel
2) Sampel terstratifikasi (stratified sampling), yaitu teknik pengambilan sampel yang digunakan apabila sampel terdiri atas beberapa tingkatan
3) Sampel rumpun (cluster sampling), yaitu teknik pengambilan sampel acak sederhana dari kelompok atau kluster dengan karakteristik tertentu
4) Proportional sampling, yaitu cara pengambilan sampel dari tiap-tiap subpopulasi dengan memperhitungkan sub-subpopulasi
5) Area probability sampling, yaitu pengambilan sampel berdasarkan pembagian wilayah
6) Incidental sampling, yaitu pengambilan sampel secara kebetulan
7) Quota sampling, yaitu teknik pengambilan sampel dari populasi yang mempunyai kriteria tertentu dalam jumlah tertentu
2. Teknik dan Instrumen Pengumpulan Data
Teknik pengumpulan data merupakan cara yang digunakan peneliti untuk memperoleh informasi/data. Dalam setiap teknik pengumpulan data dibutuhkan instrumen/alat yang digunakan peneliti untuk pengumpulan data.
a. Wawancara
Wawancara merupakan teknik pengumpulan data secara langsung antara peneliti dan informan yang dilakukan melalui percakapan. Wawancara dapat dibedakan menjadi wawancara langsung dan tidak langsung. Adapun alat yang digunakan dalam wawancara di antaranya tape recorder, daftar pertanyaan, dan buku catatan.
Wawancara dapat dibedakan menjadi tiga jenis sebagai berikut
1) Wawancara terstruktur, yaitu wawancara yang dilakukan secara langsung menggunakan pedoman wawancara yang telah disiapkan
2) Wawancara tidak terstruktur, yaitu wawancara yang dilakukan tanpa menggunakan pedoman wawancara. Peneliti dapat memodifikasi proses wawancara sesuai situasi dan kondisi secara lebih fleksibel
3) Wawancara kombinasi, yaitu perpaduan antara wawancara terstruktur dan wawancara tidak terstruktur. Pedoman wawancara hanya berisi garis besar pertanyaan utama yang perlu ditanyakan peneliti
Kelebihan metode pengumpulan data melalui wawancara sebagai berikut
1) Informasi yang diperoleh lebih mendalam
2) Dapat dilakukan pada semua golongan masyarakat, misalnya kalangan buta aksara
3) Peneliti dapat mengembangkan pertanyaan
4) Peneliti dapat menemukan informasi khusus dari informan
5) Peneliti dapat menilai kejujuran informan
Kekurangan metode pengumpulan data melalui wawancara sebagai berikut
1) Sangat bergantung pada kepekaan peneliti
2) Membutuhkan banyak waktu
3) Interpretasi data dapat dipengaruhi oleh informan
b. Observasi
Observasi adalah pengumpulan data dengan cara mengamati langsung objek penelitian di lapangan. Observasi dibedakan menjadi dua yaitu observasi partisipasi (bergabung secara langsung) dan nonpartisipasi (tidak bergabung secara langsung). Adapun instrumen pengumpulan data yang digunakan dalam observasi misalnya handycam dan kamera.
Kelebihan metode observasi dalam pengumpulan data sebagai berikut
1) Dapat melihat langsung kegiatan informan
2) Mendapat informasi tambahan
3) Mengetahui fakta di lapangan
4) Memanfaatkan waktu luang
Kekurangan metode observasi bagi peneliti sebagai berikut
1) Menghabiskan waktu dan tenaga
2) Informan kadang tidak leluasa
3) Risiko adanya gangguan tidak terduga
c. Dokumentasi
Dokumentasi merupakan teknik pengumpulan data yang dapat diperoleh melalui pengumpulan arsip, dokumen, artefak, dan surat kabar.
Kelebihan metode dokumentasi dalam pengumpulan data sebagai berikut
1) Memberikan gambaran berbagai informasi pada masa lampau
2) Menyajikan informasi mengenai hubungan informasi pada masa lampau dengan kondisi sekarang
3) Memberikan informasi dalam jumlah banyak dan terukur, misalnya data kependudukan
Kekurangan metode dokumentasi dalam pengumpulan data sebagai berikut
1) Memerlukan validitas dokumentasi untuk mengetahui keabsahan dokumen
2) Dokumentasi terkadang tidak lengkap sehingga menyesatkan peneliti
d. Angket (Kuesioner)
Angket/kuesioner adalah daftar pertanyaan yang harus dijawab secara tertulis oleh responden. Angket dapat dibedakan menjadi tiga jenis yaitu terbuka, tertutup, dan gabungan (open-close questioner). Pada angket tertutup pilihan jawaban telah disediakan sehingga responden dapat memilih jawaban yang diinginkan. Pada angket terbuka jawaban dalam daftar pertanyaan belum ditentukan sehingga responden lebih leluasa menjawab pertanyaan. Sementara itu, pada angket campuran daftar pertanyaan disertai pilihan jawaban dan ruang bagi responden menjawab sendiri pertanyaan berdasarkan opininya.
Contoh kuesioner terbuka, tertutup, dan campuran dengan judul penelitian “Tingkat Partisipasi Peserta Didik dalam Menjaga Ketahanan Sekolah” sebagai berikut
1) Contoh kuesioner terbuka
Apakah Anda mengetahui tata tertib yang berlaku di sekolah?
2) Contoh kuesioner tertutup
Apakah Anda menaati tata tertib sekolah?
Ya ( )
Tidak ( )
Kadang-kadang ( )
3) Contoh kuesioner campuran
Apakah pihak sekolah sudah menjaga ketahanan sekolah dengan baik?
( ) Setuju, alasannya...
( ) Tidak setuju, alasannya...
Kelebihan teknik pengumpulan data menggunakan kuesioner sebagai berikut
1) Peneliti tidak perlu bertatap muka karena kuesioner dapat dikirim atau melalui perantara lain
2) Dapat dibagikan secara serentak
3) Dapat dibuat anonim (tidak disebutkan identitasnya)
4) Dapat dijawab pada waktu senggang
5) Data dapat diperoleh serentak dalam satu waktu
Kekurangan teknik pengumpulan data menggunakan kuesioner sebagai berikut
1) Validitas jawaban sulit diketahui
2) Kuesioner sering tidak kembali
3) Tidak dapat diketahui kejujurannya
4) Rawan bagi responden yang tidak teliti
5) Tidak dapat dijangkau oleh responden tuna aksara
3. Pengolahan Data dalam Pendekatan Kualitatif dan Kuantitatif
Pengolahan data dalam penelitian kualitatif dan kuantitatif berbeda. Hasil pengolahan data kualitatif ialah penjelasan/deskripsi fenomena sosial yang mendalam. Sementara itu, hasil pengolahan data kuantitatif ialah angka-angka yang dideskripsikan secara umum
a. Pengolahan data kualitatif
Secara garis besar proses pengolahan data kualitatif dilakukan melalui tiga tahap kegiatan berikut
1) Reduksi data, yaitu proses pemilahan atau penyaringan data yang telah terkumpul. Kegiatan ini berlangsung secara bertahap selama penelitian berlangsung
2) Penyajian data, yaitu proses penulisan data yang telah direduksi
3) Menarik kesimpulan/verifikasi. Proses ini berlangsung dari awal hingga akhir penelitian
b. Pengolahan data kuantitatif
Pada penelitian kuantitatif pengolahan data berlangsung melalui tiga tahap. Pertama, editing atau pemeriksaan data-data yang telah dikumpulkan. Kedua, pembuatan kode/coding bertujuan menyederhanakan data melalui pemberian simbol-simbol tertentu. Ketiga, tabulasi atau proses memasukkan data yang telah dikelompokkan.
Pengukuran data pada penelitian kuantitatif secara sederhana dapat dilakukan dengan menghitung tendesi sentral. Tendensi sentral terdiri atas mean, median, dan modus.
1) Menghitung rata-rata (mean)
a) Rata-rata data tunggal (mean)
Keterangan:
x ̅ = Mean
∑xâ…ˆ = Jumlah Data
n = Banyaknya subjek (unit bilangan)
b) Rata-rata data kelompok
Keterangan:
x ̅ = Mean
ti = Titik tengah
fi = Frekuensi setiap titik tengah
∑fi = Jumlah Frekuensi
c) Rata-rata data tunggal dan frekuensi lebih dari satu
x ̅ = Mean
f = Frekuensi
x = Besar bilangan data
n = Jumlah data
2) Menghitung median (nilai tengah)
Menentukan letak median dengan data tunggal menggunakan rumus berikut
me = 1/2 . n
Bagi data tunggal dengan jumlah data ganjil, median dihitung menggunakan rumus berikut
me = 1/2 (n + 1)
Penghitungan pada data berkelompok dapat menggunakan rumus berikut
atau
Keterangan:
Me = Median
L = Tepi bawah kelas median
n= Banyaknya data
fcb = Frekuensi kumulatif kelas sebelum median
fca = Frekuensi kumulatif kelas setelah median
fme = frekuensi kelas median
i = Besarnya interval kelas
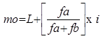
3) Menghitung modus (nilai yang sering muncul)
Menghitung modus dilakukan dengan rumus berikut
Atau
Keterangan :
Mo = Modus
L = Batas Bawah nyata interval kelas yang mengandung Mo
U = Batas nyata interval kelas yang mengandung Mo
fa = Selisih frekuensi kelas Mo dengan frekuensi kelas sebelumnya
fb = selisih frekuensi kelas Mo dengan frekuensi kelas sesudahnya
i = Besarnya interval kelas
4. Interpretasi Data Hasil Penelitian
Interpretasi data merupakan upaya untuk menjelaskan hasil penelitian sosial. Interpretasi data berupa penjelasan analisis dari data yang telah diperoleh dan diolah. Dalam menginterpretasi data hasil analisis peneliti perlu memperhatikan beberapa aspek berikut
a. Mencermati data-data yang telah tersaji dengan seksama dan teliti
b. Interpretasi harus sesuai hasil analisis data
c. Interpretasi harus dalam batas kerangka penelitian
d. Interpretasi dijelaskan dengan kalimat singkat, padat, dan jelas
Ket. klik warna biru untuk link
1. Download di Sini
2. PPT Materi Ujian Nasional Kompetensi Metode Penelitian Sosial Klik di Sini
3. Video Materi Ujian Nasional Kompetensi Metode Penelitian Sosial Klik di Sini
4. Soal-Soal Klik di Sini
5. Soal-Soal Standar Ujian Nasional. Metode Penelitian Sosial Klik di Sini
6. PPT Soal Standar Ujian Nasional dan Pembahasan Kompetensi Metode Penelitian Sosial Klik di Sini
7. Soal-Soal Standar Ujian Nasional. Pengolahan dan Interpretasi Data Penelitian Klik di Sini
8. PPT Soal Standar Ujian Nasional dan Pembahasan Kompetensi Pengolahan dan Interpretasi Data Penelitian Klik di Sini
9. Materi Pengayaan Klik di Sini
Bacaan Lain
1. Jenis-Jenis Penelitian Sosial
2. Pengertian Populasi, Sampel dan Teknik Sampling
3. Jenis-Jenis Metode Penelitian








Post a Comment